首页
学院概况
学院简介
机构设置
新闻中心
通知公告
新闻动态
荣誉金榜
专业设置
知识产权管理
大数据与会计
金融服务与管理
人力资源管理
旅游管理
酒店管理与数字化运营
体育运营与管理
党建工作
群团工作
思政教育
学子风采
教工风采
招生就业
招生信息
就业指导
下载中心
下载中心
通知公告
新闻动态
荣誉金榜
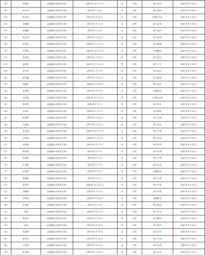
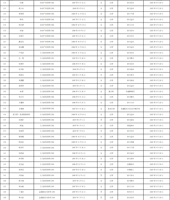
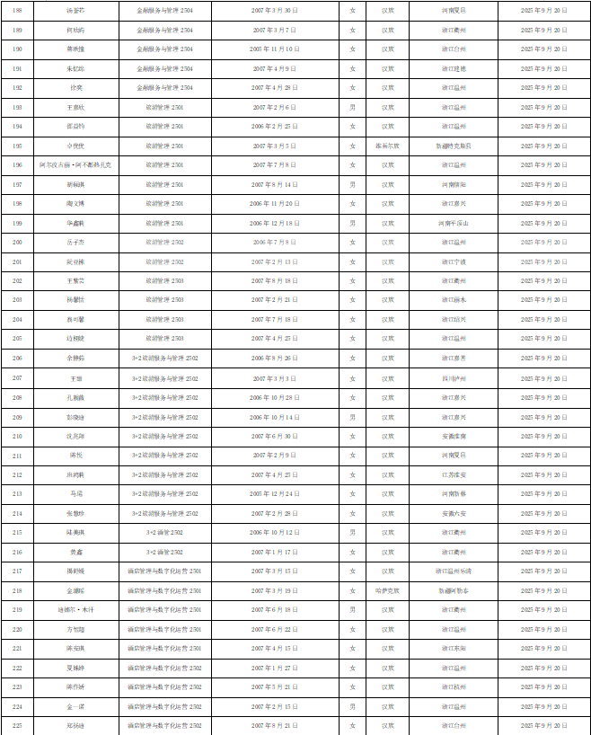
关于肖紫莹等239位同学申请入党的公示
作者:现代管理学院 来源:现代管理学院 加入时间:2025-09-22 08:49:07 浏览量:
上一页
[1]
[2]